


3
Premium Content
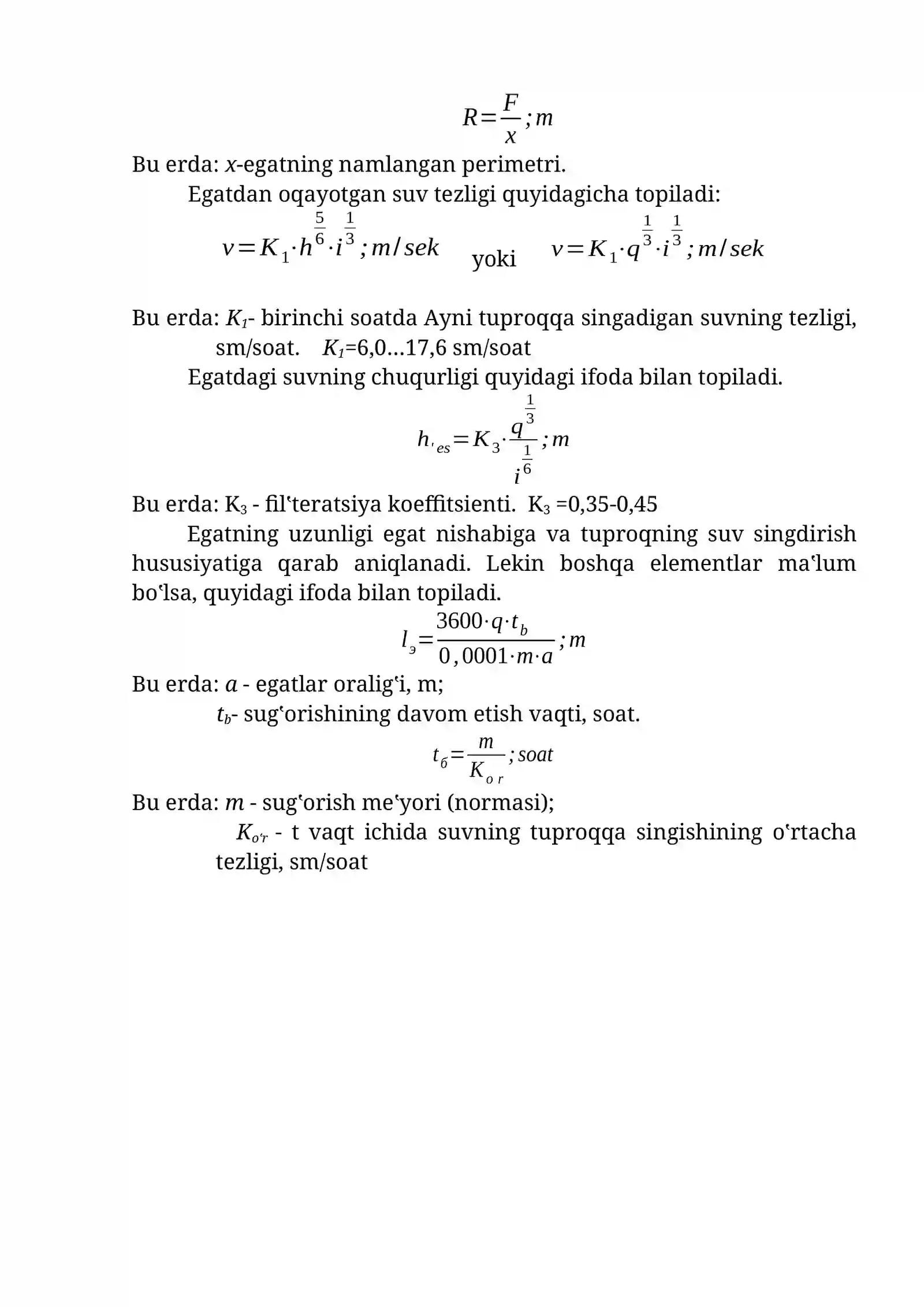
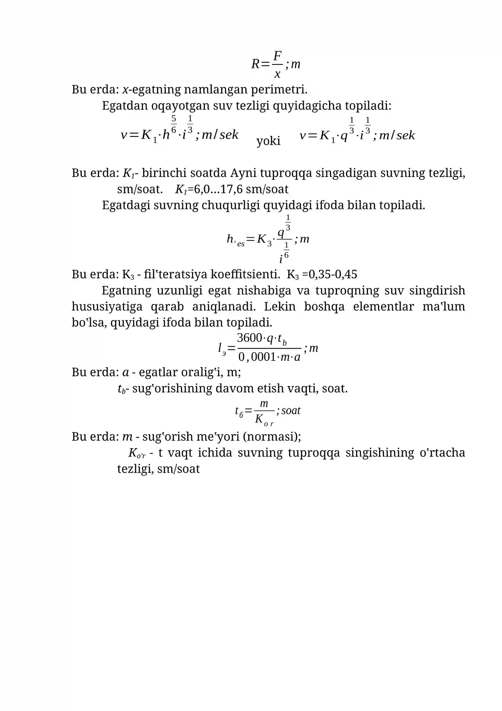
EGАTLАB SUGʽОRISH ELЕMЕNTLАRINI HISОBLАSH
3,200so'm
Betlar soni
2 taFayl hajmi
30.7 KBFayl turi
.docxMahsulot tavsifi
This product teaches how to measure the elements of evaporation abatement
Teglar
#hisоblаsh#elеmеntlаr#sugʽоrish
Premium Content
EGАTLАB SUGʽОRISH ELЕMЕNTLАRINI HISОBLАSH
3,200so'm
Betlar soni
2 taFayl hajmi
30.7 KBFayl turi
.docx
✓
Muallif
Alpha 🔰
Tasdiqlangan sotuvchi
Jami mahsulotlar7926 ta
Sotilgan4082 ta